Truth and Justice Prevail: Army Grants Full Relief and Officer Reinstatement

By Mark Charles Bashaw

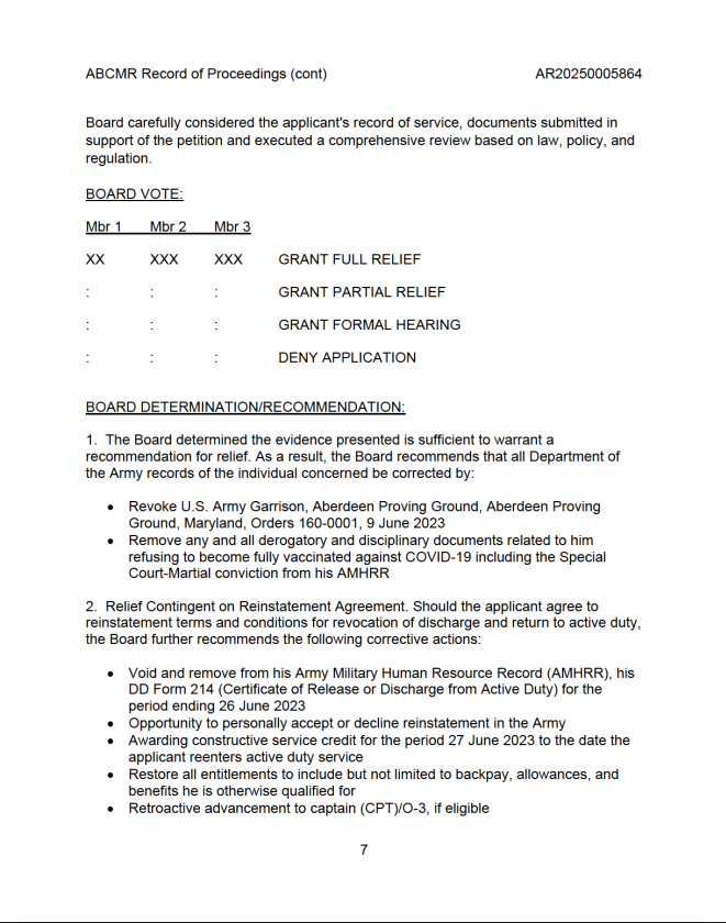
On the day after Constitution Day, September 18, 2025—honoring the signing of the U.S. Constitution in 1787—justice has prevailed. The Army Board for Correction of Military Records (ABCMR) granted full relief in Case AR20250005864 on September 17, 2025, correcting my record, restoring my commission, and enabling my reinstatement as an officer in the United States Army. This victory, following President Donald J. Trump’s full and unconditional pardon on May 28, 2025, and his January 2025 Executive Order (14184) mandating reinstatement for those purged under unlawful COVID-19 mandates, affirms the enduring power of the Constitution I swore to defend.

FULL RELIEF DECISION - Army Review Board Agency

Duty to Protect and Defend

This victory upholds the sanctity of our Oath, the rule of law, and the protection of service members from experimental medical mandates that sowed division and compromised health and readiness. As a Preventive Medicine Officer (67C) and Medical Entomologist (72B), my mission, guided by Army Regulation 40-5, is to sustain Army health and readiness through evidence-based strategies, addressing threats like insect-borne diseases and environmental hazards. When unlawful COVID-19 Emergency Use Authorization (EUA) orders—tests, masks, and injections—endangered our force, I upheld my Oath to defend the Constitution, acting within the chain of command to voice concerns per Army Regulations.

Those who issued or enforced these unlawful mandates, violating our sacred Oath, must be held accountable to restore trust and honor in our ranks. Guided by the Army Core Values—Loyalty, Duty, Respect, Selfless Service, Honor, Integrity, and Personal Courage, we choose the hard right over the easy wrong, safeguarding our Nation and fellow service members.

A Battle Against Retaliation

For nearly four relentless years, from November 2021 to this moment on September 18, 2025, I fought nonstop to uphold my duty, answering God’s call with "Send me, I’ll go" (Isaiah 6:8). It began with my refusal to comply with unlawful COVID-19 Emergency Use Authorization (EUA) orders—tests, masks, and injections—triggering retaliation: security clearance suspension, badge confiscation, banned from Army Public Health Center facilities for 413 days, a flagged record, withheld promotion, and a special court-martial in April 2022 that convicted me despite no punishment. Threats of imprisonment loomed, followed by an "insider threat" label in December 2022 for whistleblowing on health data, involuntary medical exams, and an unlawful discharge in June 2023. Through Article 138 complaints, IG reports, and denied appeals, I persevered, inspired by President Trump’s powerful words: "Never Give Up," and strengthened by faith in "The Lord is my strength and my shield" (Psalm 28:7).

This ordeal tested my resolve, but faith sustained me: "Have I not commanded you? Be strong and courageous" (Joshua 1:9). On May 28, 2025, President Donald J. Trump granted a full and unconditional pardon for United States v. 1LT Bashaw, wiping my record clean.

Gratitude for Unwavering Support

This triumph reflects divine orchestration, the prayers of thousands, and steadfast allies. My deepest gratitude goes to President Donald J. Trump and Honorable Pete Hegseth for their leadership; Honorable Earl Matthews, Honorable Anthony Tata, Stu Scheller, David Willson Davis Younts, Kacy Dixon, JJ McAfee, Senator Ron Johnson’s Office, Dr. Lee Vliet at the Truth for Health Foundation, Plandemic Reprimandos, and my Senior Enlisted Advisors; and above all, my wife, children, family, and friends for their unwavering love.

A Covenant Upheld

This victory affirms the sanctity of our Oath—a covenant to bear true faith and allegiance, taken freely, to faithfully discharge our duties. As we move forward, let us stand firm, guided by faith and courage: “Be strong and courageous” (Joshua 1:9). To God be the glory for this restoration of truth and justice.

Previous
Previous

Defying Tyranny, Restoring Liberty: The First Army Officer and Enlisted Reinstated After the COVID-19 Mandates

Next
Next

70 Years Unchallenged: One Man Brings SBA Banking Fraud to Light